Işığın Temelleri: Kırılma, Yansıma, Dispersiyon

Gözlük camı seçimi, kaplama önerisi, merkezleme ve prizmatik etkilerin yönetimi gibi günlük uygulamalar—nihayetinde—ışığın maddelerle etkileşimine dayanır. Kırılma, yansıma ve dispersiyon üçlüsünü optik reçete – cam malzemesi – kullanım senaryosu ekseninde kavramak; daha ince cam, daha net görüş ve daha yüksek kullanıcı memnuniyeti demektir. Aşağıdaki bölümler, akademik doğrulukla fakat uygulamacı bir bakışla temel kavramları özetler.
Kırılma: Görüşün ince ayarı
Bir ortamdan diğerine geçen ışığın yön değiştirmesi Snell Yasası ile verilir:
![]()
Burada ( n ) kırılma indisi, ( \theta ) ise yüzeye göre ölçülen açıdır. Optisyen açısından kritik sonuçlar:
Yüksek indeks – ince cam dengesi
Kırılma indisi büyüdükçe aynı diyoptri için cam kalınlığı azalır; ancak çoğu yüksek indeks malzemede Abbe sayısı düşer (bkz. Dispersiyon). Yani “daha ince” ile “daha renk sapmasız” çoğu zaman tam örtüşmez, hasta profiline göre denge kurmak gerekir.
Lens gücü ve yüzey eğrileri
İnce mercek yaklaşımıyla lens yapımcı formülü (özet):

Daha kavisli yüzeyler veya daha yüksek ( n ), gücü artırır. Yüksek miyoplarda kenar kalınlığı ve estetik; hipermetroplarda orta kalınlık ve ağırlık kritik hale gelir. Asferik tasarımlar, çevresel aberasyonları azaltıp profili inceltir.
Toplam iç yansıma ve prizmatik etkiler
Yoğun ortamdan daha az yoğun ortama geçişte kritik açı ( \theta_c=\arcsin(n_2/n_1) ) ile tanımlanır; bu prensip, prizmatik yönlendirme ve bazı optik sistemlerde ışık kayıplarını yönetmede kullanılır.
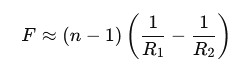
Prentice Kuralı (prizma):

Merkezleme hataları, özellikle yüksek diyoptrilerde belirgin prizma üretir; bu yüzden PD ve optik merkez doğruluğu konfor için hayati önemdedir.
Yansıma: Netliği alan “gizli kayıp”
Her ara yüzde bir miktar ışık geri döner. Dik gelim için Fresnel yansıması yaklaşık:

Hava–cam geçişinde bu değer tek yüzeyde %4 civarındadır; iki yüzey ve eğik gelişlerle toplam yansıma artar. Sonuç: kontrast düşer, hayalet yansımalar artar.
Antirefle (AR) kaplamalar
- Çeyrek dalga kalınlıklarında (λ/4) ince film katmanları, belirli dalga boylarında yıkıcı girişim oluşturarak yansımayı bastırır.
- Çok katmanlı yapılar geniş spektrumda ve eğik açılarda etkinliği artırır.
- AR kaplamalar kontrastı ve gece sürüş konforunu yükseltir; ekran parlaklıklarını azaltır.
- Uygulamada AR, hidrofobik/oleofobik üst katmanlarla birleştirilerek kir-tutmaz ve kolay temizlenir özellik kazandırılır.
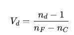
Dispersiyon: Renklerin ayrılması ve Abbe sayısı
Kırılma indisi dalga boyuna bağlıdır; kısa dalga (mavi) daha fazla kırılır. Dispersiyonun pratik ölçütü Abbe sayısı (Vd):

(d, F, C hatları standart spektral referanslardır.) Yüksek Abbe = düşük renk sapması (kromatik aberasyon). Düşük Abbe’li malzemelerde kullanıcı özellikle periferde renk saçılması ve bulanıklık hissedebilir.
3.1 Malzeme seçimi: İndeks – Abbe – dayanıklılık üçgeni
| Malzeme | n (yaklaşık) | Abbe (yaklaşık) | Artılar | Dikkat |
|---|---|---|---|---|
| CR-39 (organik) | 1.50 | ~58–59 | Yüksek optik kalite, ekonomik | Daha kalın/ ağır olabilir |
| Crown cam | 1.52 | ~59 | Çok net görüntü | Ağırlık, kırılganlık |
| Trivex | 1.53 | ~43–45 | Hafif, darbeye dayanıklı | Abbe orta, kalınlık orta |
| Polikarbonat | 1.586 | ~30 | Çok dayanıklı, çocuk–spor | Düşük Abbe: renk saçılması riski |
| Yüksek indeks 1.67 | 1.67 | ~32 | İnce profil | Daha düşük Abbe, maliyet |
| Yüksek indeks 1.74 | 1.74 | ~30 | En ince profil | En düşük Abbe, yansıma eğilimi |
Klinik öneri:
- Yüksek diyoptri + estetik beklenti → 1.67/1.74 + iyi AR.
- Dijital ekran yoğun kullanımı, konfor önceliği → CR-39 veya Trivex (yüksek Abbe) + mavi ışık yansıma yönetimi.
- Çocuklar, spor, güvenlik gözlükleri → Polikarbonat/Trivex (darbe dayanımı).
Kaplama ve tasarım kararlarının fizik temeli
- AR + Yüksek indeks: Yansıma eğilimi arttığından AR zorunludur; aksi halde netlik ve estetik kayıplar belirginleşir.
- Fotokromik/Polarize: Fotokromik teknolojiler UV ile aktive olur; polarize filtre ise paralel yansımayı keserek parlamayı azaltır (su, kar, asfalt).
- Asferik/atorik tasarımlar: Eğimli bakış açılarında oluşan astigmatik hataları ve distorsiyonu azaltır; periferik netliği artırır.
- Çok odaklı (progresif) tasarımlar: Görüş kanalları boyunca sapmaları dağıtır; kişiselleştirme/ölçüm doğruluğu konforu belirler.
Ölçüm, merkezleme ve tolerans
- PD, yüksek diyoptride yükseklik ve MRP (major reference point) ölçümleri, prizmadan kaçınmanın tek yoludur (bkz. Prentice).
- Pantoscopik açı, wrap (çerçeve sarımı) ve verteks mesafesi değiştikçe efektif diyoptri ve astigmatik bileşen etkilenir; kişiye özel ayar önerilmelidir.
- Lensmetre ve dalga aberrometreleri, üretim sonrası kalite kontrolün omurgasıdır.
- ISO/EN standartlarındaki toleranslar karşılanmalı; yüksek silindirde merkezleme sapmaları daha belirgin semptom üretir.
Sık yapılan hatalar ve hızlı çözümler
- Hata: Yüksek indeks camda AR’siz teslim.
Çözüm: Çok katmanlı AR ve üst kaplamalarla yansımayı, kir tutmayı azaltın. - Hata: Yüksek diyoptride yanlış PD → istenmeyen prizma.
Çözüm: Prentice’e göre tolerans kontrolü; yeniden merkezleme. - Hata: Düşük Abbe malzemeyle uzun ekran kullanımı.
Çözüm: Daha yüksek Abbe’li malzeme + doğru filtre stratejisi. - Hata: Progresifte kişiselleştirme verilerini (yükseklik, wrap, verteks) almamak.
Çözüm: Kişiye özel ölçüm ve uygun tasarım seçimi.
Vaka benzeri kısa örnekler
- -7.00 D miyop, estetik öncelik: 1.67/1.74 indeks + çok katmanlı AR; ince çerçeve profili.
- +3.00 D hipermetrop, geniş alan konforu: Asferik 1.60 veya kaliteli CR-39/Trivex + AR.
- Çocuk/aktif yaşam: Polikarbonat/Trivex, tam çerçeve, darbe dayanımı öncelik.
SSS
Kırılma indisi yükseldikçe her zaman daha iyi mi?
Hayır. İncelik artar fakat Abbe azalabilir; ince–konfor dengesi hasta profiline göre kurulmalı.
AR kaplama yalnızca estetik midir?
Estetik katkısı büyüktür; fakat asıl kazanım kontrast artışı, hayalet yansıma ve parlama kontrolüdür—özellikle gece sürüşte.
Renk saçılması şikâyetinde ilk adım nedir?
Abbe’si daha yüksek bir malzeme ve kaliteli AR; gerekirse tasarım (asferik/atorik) ve merkezleme tekrar değerlendirilir.
Progresifte adaptasyon sorunu fiziksel olabilir mi?
Evet. Yanlış merkezleme, pantoskopik açı, wrap, verteks ve bireyselleştirme eksikleri adaptasyonu zorlaştırır.
Fizik bilgisi daha doğru cam önerisi demektir
Kırılma, yansıma ve dispersiyon; kullandığınız her malzemenin ve verdiğiniz her önerinin temelidir. Doğru indeks–Abbe–kaplama–tasarım kombinasyonu, doğru ölçüm ve merkezleme ile birleştiğinde, kullanıcınız daha ince, daha net ve daha konforlu bir görüşe kavuşur.

